栏目页-导航下方
专家主页 > 个人专栏 > 文章详情

科普贴——运放压摆率

2021-06-08  作者:小狼

关键词:运放压摆率运算放大器

日前,有客人问小狼,说选的一颗运放,拿来做传感器小信号放大,输出波形明显不对,会不会买到歪货了,叫小狼帮忙确认一下。
小狼问客人,哪儿不对?客人说,你看我这波形,我做一个小信号放大,放大倍数也不多,怎么输出波形它就走样了?我明明要个方波,怎么放个大,出来就变梯形波了?为了验证不是饱和引起的,特意做成跟随器。


小狼看也懵圈了,特意打电话给砖家(专家)咨询一下,叫兽(教授)一看,你这个明显是压摆率太小,爬升速度慢。
压摆率是个啥,那爬升速度又是啥?能把我弄明白不?专家问,小时候玩过弹簧拉小车吗?


启动时,一二三,你往前冲,费了老大劲,跑了很远,车才慢腾腾的动起来,再隔一会,车子终于可以跟你同步了,往前走,不要停……
只要你走的路程足够长,陪你走到天长地久,启动时间那都不算事,可以忽略不见,要是车子还没有完全启动,你就来个突然停车,会咋样?我敢打赌,车子会继续往前滑, 要是不小心,肯定会把你摔个半身不遂。
运放步调不一致,会怎样,直白点叫卡顿,用砖家(专家)的话说,这叫畸变,我要一个正弦波,你却跟我出一个三角波,波都变形了,这就是畸变;用图来表示,畸变的波形大概是下面这样的。


回到我们的运放,砖家(专家)帮我画了个运放的内部结构模型图,大概是下面这个样子的。


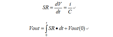
从上面这个图来看,运放内部会寄生一些电容,这些寄生电容又主要限制在内部第二级的Cc电容上,这就导致输出电压Vout上升是有坡度的,这个电容决定着运放的坡度大小,按照数学公式来算:


  
再定义一个压摆率SR公式:


按照这个定性公式, SR越大,输出响应Vout就越快,爬升速度杠杠的。
再回到开头那个客人提出的问题,原来是压摆率太小,响应速度慢,输出跟不上输入的变化节奏引起的,所以选运放,一定要看SR的参数。


除了压摆率,还有什么因素会影响运放呢?还有很多很多,比如增益带宽积,失调电压……
这是一个给刚接触运放,又无从下手的技术小白看的那种纯科普,技术大婶请自行略过!我是漏风茶社小狼。


若发现您的权益受到侵害,请立即联系我们,我们会尽快处理
Copyright 2019 问答维网络信息科技有限公司 windowit.com All Rights Reserved
公司地址:北京市昌平区文华东路8号院1号楼2层237
广播电视节目制作经营许可证编号:京第16563号
ICP许可证号:京B2-20201530 备案号:京ICP备20010935号京公网安备 11011402010812号